Ohm’s Law: Simple Explanation with Statement and Formulas
What is Ohm’s Law? Definition, Derivation, Limitation, Formula and Solved Example
Ohm’s Law
The relationship between current through a conductor and the voltage across it was first discovered by the German scientist Georg Simon Ohm. This relationship is known as Ohm’s Law, which can be stated as:
The Current “I” flowing through a conductor is directly proportional to the potential difference i.e. Voltage “V” across its ends provided the physical conditions (i.e. temperature, strain, etc.) do not change.
In other words;
In any electric circuit, the Current “I” is directly proportional to the applied Voltage “V” and inversely proportional to the total circuit Resistance “R” if the physical condition of the circuit remain unchanged i.e. (Temperature of the circuit does not change)
Mathematically,
I ∝ V … or … V ÷ I => Where R = Constant
Where “R” is a Constant of proportionality and is called Resistance of the Conductor.
Current = Potential Difference ÷ Resistance
I = V ÷ R
Related Posts:
- Lenz’s Law of Electromagnetic Induction
- What is Faraday’s Law? Laws of Electromagnetic Induction
- What is Coulomb’s Law? Laws of Electrostatics With Example
Derivation of Ohm’s Law
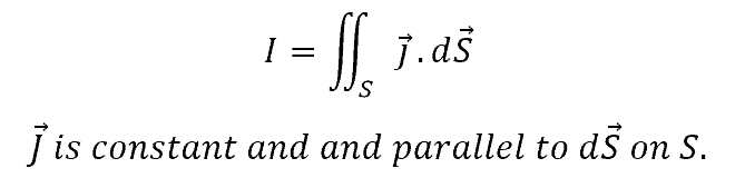
In the following figure, showing a current “I” carrying conductor with a resistance of “R” and potential “V” applied across it.
Based on the above figure, we can derive the equations as follows:
V = El
I = JS
V = IR
Where:
V = Voltage
R = Resistance
E = Electric field
I = Current
l = Conductor length
J = Current density
S = Conductor’s Cross-sectional area
σ = Conductivity
Formulas & Equations of Ohm’s Law
For calculation and simplifying of electric circuits (measuring of Current, Voltage and Resistance), we can use Ohm’s Law in the following three forms
1.
V = I × R
Voltage = Current × Resistance
Volt = Amps × Ohms (Ω)
2.
I = V ÷ R
Current = Voltage ÷ Resistance
Amps = Volts ÷ Ohms (Ω)
3.
R = V ÷ I
Resistance = Voltage ÷ Current
Ohms (Ω) = Volts ÷ Amps
Where:
Better funny explanation of Ohm’s Law
Click image to enlarge

- Or another funny way to explain Ohm’s Law
Click image to enlarge

Related Posts:
- What is Joule’s Law and Heating Effect of Current
- Coulomb’s Laws of Magnetic Force – Formula & Solved Example
- Fleming’s Left Hand Rule and Fleming’s Right Hand Rule
How to Solve Electric Circuits using Ohm’s Law
Ohm’s law can be used to simplify and analyze both basic and complex electric circuits. There are multiple versions and equations used to find the values of different quantities such as electric current, voltage and resistance of the circuit.
The following useful Ohm’s law chart and its related formulas are used to calculate basic electrical quantities and parameters, such as voltage, current, power, and resistance.
Good to know: You may use the following Ohm’s law calculators to calculate the physical electrical quantities with units.
- Power, Voltage, Current & Resistance (P,V,I,R) Calculator
- Ohm’s Law Calculator – P, I, V, R Calculator

Ohm’s law can be applied on a part or whole circuit at once. If applied on a whole electric circuit, the total voltage is divided by the total resistance of the circuit to know the value of total flowing current in the circuit. On the other hand, if you want to determine and calculate the current in a specific part of the circuit, you will have to divide that part voltage on the associated resistance of it.
Example:
If the apply Voltage across a Circuit is 50V, and a series connected Resistor in the circuit which resistance is 10 Ω, then what would be the Current in that Circuit?
Solution:

-
Limitation of Ohm’s Law
Ohm’s Law, while fundamental and widely applicable, has limitations, particularly in complex or non-linear circuits. Some of the key limitations include:
Temperature Dependence: Ohm’s Law assumes that the resistance of a conductor is constant. In reality, the resistance of many materials changes with temperature. This is especially true for semiconductors and thermistors, where resistance can vary significantly with temperature.
Non-Linear Devices: Ohm’s Law is strictly applicable only to linear devices and circuits. Non-linear devices, such as diodes and transistors, do not obey Ohm’s Law. Their current-voltage relationship is non-linear and more complex.
Frequency Dependence: Ohm’s Law applies to direct current (DC) circuits. In alternating current (AC) circuits, where the voltage and current change direction periodically, the relationship between voltage, current, and resistance is more complex due to factors like inductance and capacitance.
Material Dependence: Ohm’s Law assumes that the material of the conductor has a constant resistance. However, materials like semiconductors exhibit variable resistance depending on factors such as doping and electric field strength.
Validity in Circuit Components: Ohm’s Law applies to the circuit as a whole and not necessarily to individual components within a circuit. While it can be used to analyze circuits in a simplified manner, it may not accurately predict the behavior of specific components in all cases.
Validity at Extreme Conditions: Ohm’s Law may not hold true under extreme conditions such as very high voltages, very low temperatures, or in extremely small-scale devices where quantum effects become significant.
Despite these limitations, Ohm’s Law remains a valuable tool for analyzing and understanding many electrical circuits and devices, particularly in simpler or linear systems.
- Related Posts:
- Thevenin’s Theorem. Step by Step Procedure with Solved Example
- Norton’s Theorem. Easy Step by Step Procedure with Example (Pictorial Views)
- SUPERNODE Circuit Analysis | Step by Step with Solved Example
- SUPERMESH Circuit Analysis | Step by Step with Solved Example
- Maximum Power Transfer Theorem for AC & DC Circuits
- Kirchhoff’s Current & Voltage Law (KCL & KVL) | Solved Example
- Compensation Theorem – Proof, Explanation and Solved Examples
- Substitution Theorem – Step by Step Guide with Solved Example
- Millman’s Theorem – Analyzing AC & DC Circuits – Examples
- Superposition Theorem – Circuit Analysis with Solved Example
- Tellegen’s Theorem – Solved Examples & MATLAB Simulation
- Voltage Divider Rule (VDR) – Solved Examples for R, L and C Circuits
- Current Divider Rule (CDR) – Solved Examples for AC and DC Circuits
- Star to Delta & Delta to Star Conversion. Y-Δ Transformation
- Oersted’s Law of a Magnetic Field of a Straight Current Carrying Conductor
- Right Hand Grip/Thumb Rule, Corkscrew Rule & End/Clock Rule











capacitor how to control pf?
how to select the earth electrode in electrical equipment or panel?
how to copy the details from the webpage
big up for Govindarajan Vetrivelan
I like it so much very useful
All you need to know about the basic Ohm’s Law on the field instead of complex calculations.